• 2025年第52卷第6期文章目次
    全 选
    显示方式: |
    • >综述
    • “十四五”我国地质岩心钻探技术装备发展现状及趋势分析

      2025, 52(6):1-14. DOI: 10.12143/j.ztgc.2025.06.001

      摘要 (336) HTML (351) PDF 133.97 K (1137) 评论 (0) 收藏

      摘要:科技创新是驱动地质岩心钻探工程发展的核心动力。本文系统总结了我国地质岩心钻探装备在“十四五”期间的创新成果,深入分析了其发展所面临的政策、经济、技术环境及市场竞争等瓶颈。在此基础上,文章展望了“十五五”期间以大数据、智能化、绿色低碳为导向的技术装备创新方向与任务,旨在为国家深地、深海、深空战略的实施提供支撑,为提升行业科技创新能力与影响力提供参考。

      • 0+1
      • 1+1
      • 2+1
      • 3+1
      • 4+1
      • 5+1
      • 6+1
      • 7+1
      • 8+1
      • 9+1
      • 10+1
      • 11+1
      • 12+1
      • 13+1
      • 14+1
      • 15+1
      • 16+1
      • 17+1
      • 18+1
      • 19+1
      • 20+1
      • 21+1
    • 钻头干钻碎岩过程中的热传导理论分析与研究进展

      2025, 52(6):15-25. DOI: 10.12143/j.ztgc.2025.06.002

      摘要 (172) HTML (134) PDF 140.38 K (1204) 评论 (0) 收藏

      摘要:钻探技术是地球深部资源开发和月球勘探的核心手段,钻头在干钻等极端工况下的温度变化会导致钻头磨损加剧甚至失效,解析钻头温升机制对优化钻探工艺、延长钻头使用寿命至关重要。由于实验条件难以全面模拟复杂工况,且数值模型常因简化假设而受限,理论模型的构建成为揭示钻头温升规律的关键。本文首先以金属切削理论为基础,解析了切削力与切削热的生成机制,建立了钻头-岩石-岩屑系统的三维导热微分模型。在此基础上,从理论模型、受力分析、产热分析3个方面对比了硬质合金钻头与PDC钻头的温升机制,指出模型通过简化切削结构分离剪切热与摩擦热的有效性。相对而言,孕镶金刚石钻头的理论研究因金刚石颗粒的微切削特性、出刃高度动态变化及接触面积的不确定性而进展缓慢。为构建适应性更强的热力学模型,未来需利用多物理场耦合方法,并结合岩石特性、钻头材料属性和动态工况参数开展深入研究。

      • 0+1
      • 1+1
      • 2+1
      • 3+1
      • 4+1
      • 5+1
      • 6+1
      • 7+1
      • 8+1
      • 9+1
      • 10+1
      • 11+1
      • 12+1
      • 13+1
      • 14+1
      • 15+1
      • 16+1
      • 17+1
      • 18+1
      • 19+1
      • 20+1
      • 21+1
      • 22+1
      • 23+1
      • 24+1
      • 25+1
      • 26+1
      • 27+1
      • 28+1
      • 29+1
      • 30+1
      • 31+1
    • >钻探理论与方法
    • STJ植物胶冲洗液滤饼强化研究

      2025, 52(6):26-33. DOI: 10.12143/j.ztgc.2025.06.003

      摘要 (128) HTML (102) PDF 70.74 K (1199) 评论 (0) 收藏

      摘要:复杂破碎地层钻进时常出现孔壁坍塌等问题,为了防止此类事故发生,提高岩心采取率,常采用绳索取心钻进,需要使用防塌性能强的无固相冲洗液。STJ植物胶冲洗液为环保型无固相冲洗液,但其形成的滤饼稀疏,不足以满足护壁需要。本文针对STJ植物胶冲洗液滤饼稀疏这一问题,以STJ植物胶冲洗液为基础,结合理想充填理论,采用室内实验、微观分析等研究手段,优选填充材料并优化配比,研究植物胶冲洗液的滤饼强化机理。实验研究表明,由2% STJ+3% YT-1+2% YT-2+3% YT-3配制成的无固相冲洗液滤失量显著降低,其形成的滤饼更为致密平坦,护壁性能大幅提升。微米级填充材料通过颗粒级配形成致密滤饼,符合理想充填理论,为复杂地层钻进提供了环保高效的解决方案。

      • 0+1
      • 1+1
      • 2+1
      • 3+1
      • 4+1
      • 5+1
      • 6+1
      • 7+1
      • 8+1
      • 9+1
      • 10+1
      • 11+1
      • 12+1
      • 13+1
    • 钻井液侵蚀样品的数值模拟与参数影响分析

      2025, 52(6):34-41. DOI: 10.12143/j.ztgc.2025.06.004

      摘要 (124) HTML (149) PDF 89.42 K (1112) 评论 (0) 收藏

      摘要:在岩土工程勘察中,通过钻探获取高质量的原状土样至关重要,其核心在于最大程度减少对样品的扰动。本文针对钻进取样过程中钻井液对土样的侵蚀扰动问题,基于取心钻头孔底模型,采用Fluent软件进行了数值模拟研究。研究表明,钻井液对土样的侵蚀随时间呈阶梯式扩散,其范围自样品上部向底部逐步扩展,并可划分为三个典型侵蚀区域。在不同钻井液黏度和流速条件下,样品上部与底部的侵蚀程度均明显大于中部。具体而言,上部侵蚀范围随黏度和流速的增大而向中部扩展;而底部侵蚀范围随流速增大而增大,却随黏度增大而减小。总体来看,土样渗透率的增大、钻井液黏度的降低以及流速的提高,均会显著增强侵蚀作用,且侵蚀在样品底部最为剧烈。本研究揭示了钻井液与土体相互作用的多参数耦合侵蚀机制,为优化钻井液性能和钻进工艺提供了定量依据,对提升原状土取样质量与工程勘察数据的可靠性具有重要意义。

      • 0+1
      • 1+1
      • 2+1
      • 3+1
      • 4+1
      • 5+1
      • 6+1
      • 7+1
      • 8+1
      • 9+1
      • 10+1
      • 11+1
      • 12+1
      • 13+1
      • 14+1
      • 15+1
    • 特深井钻杆接头耐磨减摩双向防护机制研究

      2025, 52(6):42-51. DOI: 10.12143/j.ztgc.2025.06.005

      摘要 (162) HTML (114) PDF 115.01 K (1191) 评论 (0) 收藏

      摘要:针对深井、超深井、特深井钻井过程中钻杆接头耐磨带-套管摩擦副的严重磨损问题,建立了钻柱-套管耐磨减摩的双向防护模型,提出了金刚石复合材料耐磨带与套管的双向防护机制,并开展了金刚石复合材料耐磨带摩擦学性能实验验证。该研究阐释了金刚石复合材料耐磨带耐磨减摩的机理,并通过构建包含岩层轴向反力和接触载荷的钻柱-套管的力学模型,采用自主研发的摩擦磨损试验机进行实验。研究不同工况下钻杆接头的磨损量及磨损形貌特征,结合拉曼光谱揭示了表面摩擦化学反应机制。结果表明:金刚石复合材料耐磨带通过硬质相支撑和自润滑协同作用,可使摩擦系数显著降低,形成的梯度复合保护层和石墨化转移膜能有效实现钻杆接头与套管表面的双向防护。研究成果为深井钻杆接头耐磨带结构优化提供了理论支撑与实验依据。

      • 0+1
      • 1+1
      • 2+1
      • 3+1
      • 4+1
      • 5+1
      • 6+1
      • 7+1
      • 8+1
      • 9+1
      • 10+1
      • 11+1
      • 12+1
      • 13+1
      • 14+1
      • 15+1
      • 16+1
      • 17+1
      • 18+1
      • 19+1
      • 20+1
      • 21+1
    • 层流单分支管路流量分配的理论分析与CFD模拟

      2025, 52(6):52-59. DOI: 10.12143/j.ztgc.2025.06.006

      摘要 (184) HTML (166) PDF 95.38 K (1224) 评论 (0) 收藏

      摘要:为揭示层流状态下单分支管路的流量分配规律,本文采用理论分析与数值模拟相结合的方法,基于并联管路压降平衡假设,结合Darcy-Weisbach公式与层流本构关系,推导得出流量配比理论公式,揭示了流量分配与管径四次方成正比、与管长成反比的定量关系。通过CFD数值模拟对不同几何参数及不同注入流量工况进行验证,结果表明:仿真值与理论值的最大误差小于5%,证实了理论模型具备良好的工程适用性;流量分配比例仅由几何参数决定,与注入流量无关。本研究可为分支井结构优化提供理论依据,所提出的方法亦可扩展至多分支管路系统分析。后续研究将延伸至湍流模型及动态流动过程,以进一步提升模型的适用广度。

      • 0+1
      • 1+1
      • 2+1
      • 3+1
      • 4+1
      • 5+1
      • 6+1
      • 7+1
      • 8+1
      • 9+1
      • 10+1
      • 11+1
      • 12+1
      • 13+1
      • 14+1
      • 15+1
      • 16+1
      • 17+1
      • 18+1
      • 19+1
    • 大尺寸井眼固井活性冲洗液体系作用效能与机理研究

      2025, 52(6):60-66. DOI: 10.12143/j.ztgc.2025.06.007

      摘要 (135) HTML (91) PDF 77.93 K (1176) 评论 (0) 收藏

      摘要:针对超深井大尺寸井眼环空低返速工况下,常规冲洗液对钻井液滤饼冲洗效率低导致固井质量差的难题,本文通过高温高压动态清洗装置对比分析了不同混浆比例、冲洗速度、渗透率条件下,活性冲洗液在提升混浆强度、冲洗效率、促进二界面胶结强度发展方面的效能,并对冲洗后的固井二界面进行扫描电镜分析。结果表明:活性冲洗液体系的混浆强度较常规冲洗液可提升1倍以上;对比清水和常规冲洗液体系,活性冲洗液体系的滤饼冲洗效率达95%,具有显著的滤饼提升作用;模拟不同流速的冲洗情况发现,活性冲洗液体系在较低冲洗速度下的冲洗效率>90%。现场施工表明,活性冲洗液可有效提升混浆强度与固井二界面的胶结强度,从而显著提高大尺寸井眼固井施工质量,具有良好的应用前景。

      • 0+1
      • 1+1
      • 2+1
      • 3+1
      • 4+1
      • 5+1
      • 6+1
      • 7+1
      • 8+1
      • 9+1
      • 10+1
      • 11+1
      • 12+1
      • 13+1
      • 14+1
      • 15+1
      • 16+1
      • 17+1
      • 18+1
      • 19+1
      • 20+1
      • 21+1
      • 22+1
      • 23+1
      • 24+1
      • 25+1
    • >钻探技术与装备
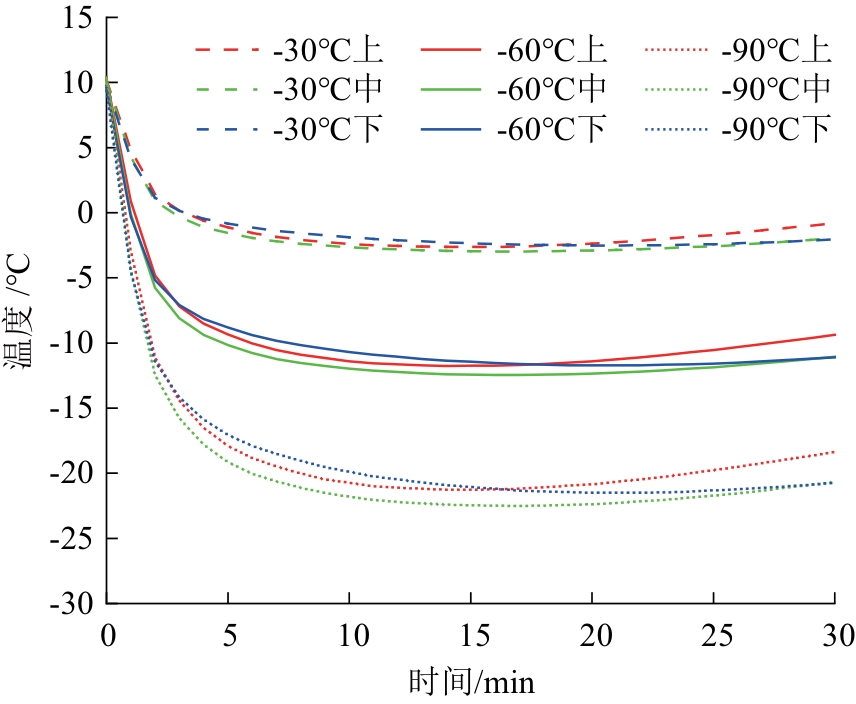
    • 基于热管强化传热的天然气水合物孔底冷冻取样器优化研究

      2025, 52(6):67-76. DOI: 10.12143/j.ztgc.2025.06.008

      摘要 (133) HTML (135) PDF 90.22 K (1248) 评论 (0) 收藏

      摘要:针对天然气水合物孔底冷冻取样器冷源利用率低的问题,本文提出基于热管强化传热的优化方案。搭建取样装置试验台,开展岩心冷冻室内试验,初步研究热管对储冷机构与冷冻机构间传热效果的优化作用。结合传热数值模拟,进一步分析热管在取样器中的作用,探讨在海洋水合物取心工况下,不同冷源初始温度和取心长度对冷冻机构冷冻效果的影响。结果表明,热管优化结构使岩心温度分布更均匀,冷源利用率提升31.59%,岩心冷冻速率提升42.21%。使用热管强化传热,增强了天然气水合物孔底冷冻取样器的冷冻效果,对推动孔底冷冻取样器的工程应用、打破国外对水合物取样技术的垄断具有积极的意义。

      • 0+1
      • 1+1
      • 2+1
      • 3+1
      • 4+1
      • 5+1
      • 6+1
      • 7+1
      • 8+1
      • 9+1
      • 10+1
      • 11+1
      • 12+1
      • 13+1
      • 14+1
      • 15+1
      • 16+1
      • 17+1
      • 18+1
      • 19+1
      • 20+1
      • 21+1
      • 22+1
      • 23+1
      • 24+1
      • 25+1
      • 26+1
      • 27+1
      • 28+1
      • 29+1
    • 长距离水平孔绳索取心钻进关键技术研究及应用

      2025, 52(6):77-85. DOI: 10.12143/j.ztgc.2025.06.009

      摘要 (355) HTML (230) PDF 87.49 K (1265) 评论 (0) 收藏

      摘要:随着国家能源战略升级转型,将西部地区作为水电工程建设依托载体,亟需精细勘查建设区域地质特征,支撑水电工程高效规划建设。针对该地区横向展布岩性特征、地质特征不明确、断层分布描述不精准等问题,采用长距离水平绳索取心钻探技术对建设区域进行精细化勘察,通过优选先进的设备工具,制定合理高效的钻进工艺技术,构建一套长距离水平绳索取心关键技术体系,达到精细化勘察工区地质特征及构造的目标。以西部地区某工程地质勘察为例,应用长距离水平绳索取心关键技术体系,全孔平均钻速3.61 m/h,台月效率高达422.42 m/台月,全孔岩心采取率高达94.92%,完钻顶角与设计值误差仅为0.1%,全孔方位在设计值±1°以内波动。现场应用表明,本文提出的长距离水平绳索取心定向钻进关键技术对西部地区工程勘察具有良好的应用价值,可为复杂地质区域勘探与开发提供技术支持。

      • 0+1
      • 1+1
      • 2+1
      • 3+1
      • 4+1
      • 5+1
      • 6+1
      • 7+1
      • 8+1
      • 9+1
      • 10+1
      • 11+1
      • 12+1
      • 13+1
      • 14+1
      • 15+1
    • 深水浅软层砂层保形取心钻具设计及应用

      2025, 52(6):86-90. DOI: 10.12143/j.ztgc.2025.06.010

      摘要 (123) HTML (138) PDF 57.77 K (1145) 评论 (0) 收藏

      摘要:随着国家资源勘查逐步向深海进军,获取深海地层岩心成为必需。目前,针对海底沉积层、软硬交互等地层已有了成熟的取心钻具,但是,对于浅软层砂层还存在一些技术壁垒。在已有TKP194-80型密闭保压取心工具原理的基础上,针对性设计了超前保形取心钻头、优化了球阀结构、增加了透明衬管以及单向阀机构,形成了球阀翻转式保形取心钻具。该钻具具有对砂层扰动小、防堵等特点,成功在我国南海1500 m以深的超深水油气浅软层砂层进行了试验,取心进尺5.50 m,获取砂层岩心5.00 m,岩心采取率90.91%。突破了超深水浅软层砂层取心的技术难点,可为超深水油气资源勘探开发提供关键技术支撑。

      • 0+1
      • 1+1
      • 2+1
      • 3+1
      • 4+1
      • 5+1
      • 6+1
      • 7+1
      • 8+1
      • 9+1
      • 10+1
      • 11+1
      • 12+1
      • 13+1
    • 煤矿井下瓦斯抽采钻孔全流程自动钻进工艺技术

      2025, 52(6):91-96. DOI: 10.12143/j.ztgc.2025.06.011

      摘要 (178) HTML (115) PDF 50.29 K (1177) 评论 (0) 收藏

      摘要:煤矿井下瓦斯抽采钻孔施工目前存在自动化程度低、工序可控性差、安全风险高、劳动强度大、生产效率低等问题,自动化、智能化是煤矿安全生产的核心发展方向。基于煤矿安全生产对井下瓦斯抽采钻孔减人、增效、强安、降本的要求,开展了煤矿井下瓦斯抽采常规钻孔的全流程多机协同自动化钻进技术研究。研究团队深入分析了钻孔施工、钻渣清运、筛管下放及带压注浆等核心工序的功能需求,在此基础上提出了一套完整的自动化施工模式与技术方案。该方案旨在指导现场作业,实现各工序在有限人员配置下的时序化、线性化自动执行,从而显著减少作业人员、降低劳动强度,并升级全过程的智能监测系统。通过制定并实施标准化的作业工艺与规范,该技术成功替代了传统作业模式。现场试验初步验证了其有效性,在减员和降低劳动强度方面成效显著。然而,为全面推广应用,仍需持续改进,以进一步提升成套装备的可靠性、稳定性及钻进效率等关键性能指标。

      • 0+1
      • 1+1
      • 2+1
      • 3+1
      • 4+1
      • 5+1
      • 6+1
      • 7+1
      • 8+1
      • 9+1
      • 10+1
      • 11+1
    • 淮北矿区井下钻冲护一体化水力增透技术试验研究

      2025, 52(6):97-103. DOI: 10.12143/j.ztgc.2025.06.012

      摘要 (118) HTML (121) PDF 59.42 K (1221) 评论 (0) 收藏

      摘要:目前采用水力冲孔增透是碎软低渗煤层强化瓦斯治理的一种有效手段。针对淮北矿区煤层渗透性差、钻孔抽采率低、抽采周期长等问题,提出了钻冲护一体化水力造穴增透瓦斯抽采技术,开展了钻冲护一体化造穴装置研究。利用该造穴装置,配套大通径螺旋钻杆和可开闭式钻头,实现井下瓦斯抽采穿层钻孔钻进成孔、水力冲孔造穴增透和不提钻下筛管护孔工艺流程的一体化施工工艺,该工艺全过程只需下一次钻,工艺流程简单、辅助工作量小、综合效率高。在杨柳矿开展了现场试验,施工完成29个钻孔,试验结果表明:钻冲护一体化工艺技术可实现钻孔、水力造穴、筛管护孔的一体化施工,避免二次下钻再下筛管护孔,有效提高了全流程施工效率;钻孔穿煤段水力冲孔后平均冲煤量达到1.1 m3/m,平均造穴直径0.93~1.00 m,极大地提升了碎软煤层造穴增透效果。

      • 0+1
      • 1+1
      • 2+1
      • 3+1
      • 4+1
      • 5+1
      • 6+1
      • 7+1
      • 8+1
      • 9+1
      • 10+1
      • 11+1
      • 12+1
      • 13+1
    • 桩土界面直剪试验装置设计与模拟应用

      2025, 52(6):104-110. DOI: 10.12143/j.ztgc.2025.06.013

      摘要 (110) HTML (98) PDF 59.41 K (1219) 评论 (0) 收藏

      摘要:为研究桩土界面力学特性,针对目前直剪试验较少考虑桩体弧形表面和实际粗糙度的问题,本文设计了一种可模拟实际工程桩弧形表面形态及粗糙度特征的直剪试验装置。该装置采用双剪切盒嵌套结构,通过上剪切盒螺栓加载系统与下剪切盒液压推进装置的协同作用,实现法向应力与切向位移的独立控制。试验基于现场实测数据,运用空间模型扫描技术和3D打印技术制作弧形表面混凝土桩模型,针对粉质黏土开展直剪试验,系统分析含水率、弧形界面粗糙度及法向应力对桩土界面力学特性的影响。试验结果表明,土体界面承载力随含水率增加呈先增后减的趋势,随界面粗糙度增大而显著提升,且与法向应力呈正相关,与实际情况相符,验证了装置设计的适用性与科学性,具有较强的工程应用价值。

      • 0+1
      • 1+1
      • 2+1
      • 3+1
      • 4+1
      • 5+1
      • 6+1
      • 7+1
      • 8+1
      • 9+1
      • 10+1
      • 11+1
      • 12+1
      • 13+1
      • 14+1
      • 15+1
      • 16+1
      • 17+1
      • 18+1
      • 19+1
    • >工程实践与应用
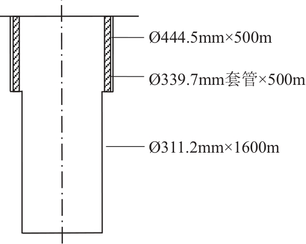
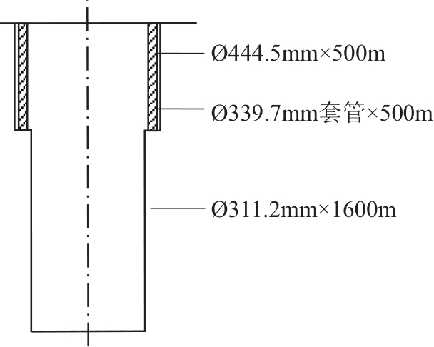
    • 绿色自降解交联凝胶在西宁地热DR2024井堵漏中的应用

      2025, 52(6):111-115. DOI: 10.12143/j.ztgc.2025.06.014

      摘要 (178) HTML (144) PDF 54.82 K (1155) 评论 (0) 收藏

      摘要:漏失是地热资源勘探开发过程中经常遇到的问题,尤其是热储层失返性漏失问题,严重影响井筒安全和钻探效率。西宁地热DR2024井是一口地热开采井,钻进至非目标热储层714~759 m井段时发生了失返性漏失,且存在“涌漏同层”,采用含复合堵漏剂的钻井液随钻堵漏无效。试验应用绿色自降解交联凝胶堵漏3次,井口能实现返浆,取得了较好的堵漏效果,并初步验证了绿色自降解交联凝胶应用于地热储层堵漏的可行性和实用性。研制的绿色自降解交联凝胶由成胶剂、交联控制剂和交联剂等3种材料组成,配方简单,具有自动降解、环保、交联时间可控、自降解时间可调和抗水稀释性强等特点,在地热储层堵漏方面具有广阔的应用前景。本文堵漏应用经验可为从事类似地热钻探工程提供借鉴和参考。

      • 0+1
      • 1+1
      • 2+1
      • 3+1
      • 4+1
      • 5+1
      • 6+1
      • 7+1
    • 隔膜压榨废浆处理装置在地质钻探中的应用

      2025, 52(6):116-121. DOI: 10.12143/j.ztgc.2025.06.015

      摘要 (209) HTML (113) PDF 57.34 K (1117) 评论 (0) 收藏

      摘要:地质钻探过程中产生的废弃冲洗液常含有钻屑、各种化学处理等污染物。这些污染物具有高色度、高化学需氧量(COD)、高悬浮物等特性,如果直接排放,对周边土壤、水质、生物等环境生态造成影响。随着绿色勘查理念在地质钻探领域的深入贯彻,隔膜压榨废浆处理装置应运而生并发挥着重要作用。本文主要介绍TGYG型隔膜压榨废浆处理装置,以小型撬装模块化结构为设计理念,通过给料泵将废浆输入到由隔膜板和滤板组成的滤室中,当废弃冲洗液充满滤室后,液压系统推动隔膜对滤室内的废弃冲洗液施加压力,在压力作用下,滤液通过滤布经滤板上的排水通道排出,固相颗粒则被截留在滤室内,从而实现固液分离。在河南驻马店地区中深孔地质钻探过程中,开展废弃冲洗液无害化处理现场应用,分离固相含液率降低到20%以下,大幅减少了废弃冲洗液的体积和质量,有效降低环境污染,促进资源回收利用,为地质钻探废弃冲洗液无害化处理提供了宝贵实践经验,可有效助力新一轮找矿突破战略行动全面落实绿色勘查工作。

      • 0+1
      • 1+1
      • 2+1
      • 3+1
      • 4+1
      • 5+1
      • 6+1
      • 7+1
      • 8+1
      • 9+1
      • 10+1
      • 11+1
    • 隔膜压榨废浆处理装置在地质钻探中的应用

      2025, 52(6):116-121. DOI: 10.12143/j.ztgc.2025.06.015

      摘要 (183) HTML (0) PDF 0.00 Byte (0) 评论 (0) 收藏

      摘要:地质钻探过程中产生的废弃冲洗液常含有钻屑、各种化学处理等污染物。这些污染物具有高色度、高化学需氧量(COD)、高悬浮物等特性,如果直接排放,对周边土壤、水质、生物等环境生态造成影响。随着绿色勘查理念在地质钻探领域的深入贯彻,隔膜压榨废浆处理装置应运而生并发挥着重要作用。本文主要介绍TGYG型隔膜压榨废浆处理装置,以小型撬装模块化结构为设计理念,通过给料泵将废浆输入到由隔膜板和滤板组成的滤室中,当废弃冲洗液充满滤室后,液压系统推动隔膜对滤室内的废弃冲洗液施加压力,在压力作用下,滤液通过滤布经滤板上的排水通道排出,固相颗粒则被截留在滤室内,从而实现固液分离。在河南驻马店地区中深孔地质钻探过程中,开展废弃冲洗液无害化处理现场应用,分离固相含液率降低到20%以下,大幅减少了废弃冲洗液的体积和质量,有效降低环境污染,促进资源回收利用,为地质钻探废弃冲洗液无害化处理提供了宝贵实践经验,可有效助力新一轮找矿突破战略行动全面落实绿色勘查工作。

    • 基于全景成像技术的水平孔电子岩心获取与解译

      2025, 52(6):122-127. DOI: 10.12143/j.ztgc.2025.06.016

      摘要 (137) HTML (124) PDF 55.69 K (1178) 评论 (0) 收藏

      摘要:塔什达坂北锂矿区位于昆仑—阿尔金山脉,矿区地质构造复杂,高寒深切割地区,地形落差大,钻探设备搬迁困难。该矿区矿层产状陡倾,为贯彻落实“绿色勘查”理念,钻探施工主要采用水平和近水平定向孔,减少设备搬迁,保护生态环境。为克服取心钻探过程中因地层破碎、取心不连续、岩心编录时人为差异等原因导致钻取的岩心无法准确获取地层产状、裂隙宽度、软弱夹层等地层信息的问题,采用自主研制的多参数全方位无缆测井系统对水平孔进行钻孔全景成像,攻克了水平孔全景成像地层结构面计算方法,采用无缆存储和钻杆推送的方法,克服了测试仪器在水平深孔中无法下放的问题。在下放过程中获取钻孔孔壁高清、连续、完整、原状的照片,通过图像处理技术形成“电子岩心”,从中可以清晰直观地获取到地层岩性、裂隙、软弱夹层、岩溶和岩层厚度等信息,准确测算出地层结构面参数,实现了精细勘查,提高了钻探施工质量,有效支撑了找矿突破数字化转型。

      • 0+1
      • 1+1
      • 2+1
      • 3+1
      • 4+1
      • 5+1
      • 6+1
      • 7+1
      • 8+1
      • 9+1
      • 10+1
      • 11+1
      • 12+1
      • 13+1
      • 14+1
      • 15+1
      • 16+1
      • 17+1
      • 18+1
      • 19+1
    • 新场-合兴场区块须家河组难钻地层PDC钻头研制及应用

      2025, 52(6):128-135. DOI: 10.12143/j.ztgc.2025.06.017

      摘要 (124) HTML (134) PDF 68.36 K (1167) 评论 (0) 收藏

      摘要:针对新场-合兴场区块须家河组地层硬度大、可钻性差、研磨性高、非均质性强等破岩难题,建立了须家河组地层抗钻特性参数剖面,开展了目标层段工程需求及典型钻头失效形式分析,结合不同类型切削齿破岩特性研究,开展了布齿方式优化,提出“圆形+楔形”双排平面混合布齿结构。通过开展钻头受力分析,优化设计冠部轮廓、刀翼结构、保径结构,形成“高导向性+力平衡稳定性”切削结构,最终研制出须家河组难钻地层定制化PDC钻头。现场应用平均机械钻速4.88 m/h,提升41%;平均行程进尺347.16 m,提升104%,为新场-合兴场区块须家河组二段致密砂岩气藏钻井提速突破提供了新的技术手段。

      • 0+1
      • 1+1
      • 2+1
      • 3+1
      • 4+1
      • 5+1
      • 6+1
      • 7+1
      • 8+1
      • 9+1
      • 10+1
      • 11+1
      • 12+1
      • 13+1
      • 14+1
      • 15+1
      • 16+1
      • 17+1
      • 18+1
      • 19+1
      • 20+1
      • 21+1
      • 22+1
      • 23+1
    • 金刚石钻切技术在超高层建筑拆除工程中的应用

      2025, 52(6):136-141. DOI: 10.12143/j.ztgc.2025.06.018

      摘要 (103) HTML (142) PDF 46.80 K (1188) 评论 (0) 收藏

      摘要:随着我国建筑业的飞速发展,一些存在安全隐患或不满足功能要求的超高层建筑需要拆除,如果项目位于城市中心地带,目前传统的拆除施工方法(如:机械拆除、爆破拆除)很难满足绿色环保及对保留结构保护性拆除施工的要求。天津某项目4栋>100 m的超高层建筑需拆除重建,采用金刚石工具(绳锯和薄壁钻)钻切技术方法进行拆除,完全克服了传统拆除方法存在的诸多弊端,充分展现了金刚石钻切技术高效、安全、环保、节能、无损性方面的优势,圆满完成施工任务,得到了业主及外界一致认可,其中相关的关键技术成果可为类似超高层建筑拆除施工提供参考依据。

      • 0+1
      • 1+1
      • 2+1
      • 3+1
      • 4+1
      • 5+1
      • 6+1
      • 7+1
      • 8+1
      • 9+1
      • 10+1
      • 11+1
      • 12+1
      • 13+1
    • QC在地质钻探安全管理中的应用

      2025, 52(6):142-151. DOI: 10.12143/j.ztgc.2025.06.019

      摘要 (132) HTML (118) PDF 84.32 K (1084) 评论 (0) 收藏

      摘要:QC小组是质量控制的具体实施载体,是一种有效的员工参与企业管理的组织形式,具有激发员工积极性与创造性,增强人员素养和协作能力,提升管理水平的作用。安全管理作为生产管理不可或缺的重要组成部分,由于组织结构壁垒、沟通机制不健全、激励与问责失衡等原因,一直存在管理与执行脱节的问题,导致安全责任失职失控、安全隐患重复出现、安全生产事故时有发生。本文以地质钻探为例,通过组建QC小组,定期召开活动会议,运用因果图、戴明循环等质量管理的理论和方法,采取一系列改进措施,推进员工安全责任意识的不断强化、制度实施细节的持续完善、教育培训效果的巩固增强、监督检查质效的有效提升。在降低生产安全事故发生率与经济损失的同时,促使安全管理的规范化、程序化进一步增强,安全管理水平显著提升。

      • 0+1
      • 1+1
      • 2+1
      • 3+1
      • 4+1
      • 5+1
      • 6+1
      • 7+1
    • >技术快报
    • 铝合金钻杆技术

      2025, 52(6):152-153. DOI: 10.12143/j.ztgc.2025.06.020

      摘要 (101) HTML (135) PDF 14.54 K (969) 评论 (0) 收藏

      摘要:

      • 0+1
      • 1+1
      • 2+1
      • 3+1
    • 全液压地质岩心钻机

      2025, 52(6):154-155. DOI: 10.12143/j.ztgc.2025.06.021

      摘要 (99) HTML (138) PDF 10.99 K (1069) 评论 (0) 收藏

      摘要:

      • 0+1
      • 1+1
    • 井底动力高效取心技术

      2025, 52(6):156-157. DOI: 10.12143/j.ztgc.2025.06.022

      摘要 (121) HTML (144) PDF 18.89 K (1041) 评论 (0) 收藏

      摘要:

      • 0+1
      • 1+1
      • 2+1
      • 3+1
      • 4+1
      • 5+1
      • 6+1
      • 7+1
      • 8+1
      • 9+1
      • 10+1
      • 11+1
      • 12+1
      • 13+1
      • 14+1
    • 《钻探工程》2025年第52卷总目次

      2025, 52(6):159-164. DOI: 10.12143/j.ztgc.2025.06.023

      摘要 (104) HTML (391) PDF 555.07 K (1109) 评论 (0) 收藏

      摘要:《钻探工程》2025年第52卷总目次